Home ยป Energy Equation Quantum Mechanics
Visual Quantum MechanicsProduct : Order Now ads/responsive.txt ads/responsive.txt
Visual Quantum Mechanics
Gm Jackson Physics And Mathematics Deriving Newton S Constant G
Quantum Mechanics Ii Phys 517 Solutions To Problem Set 1
Quantum Mechanics 1 Pdf Introduction To Quantum Mechanics Time
Physics Lecture 11 3 2 Andrew Brandt Monday March 2 2009 Dr
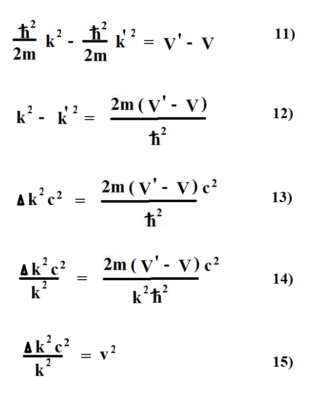
Arxiv
Https Encrypted Tbn0 Gstatic Com Images Q Tbn 3aand9gct6kxolovb8fug7yv Cexafi5mlqxzd4evwlong9dasfg7a Wb6pmodn0x1uow5hs Usqp Cau
Credentials Highlights More 17 Quantum Physics Topology
Chapter 35 Quantum Mechanics Of Atoms S Equation For H Atom 2
Https Www Physics Purdue Edu Webapps Index Php Course Document Index Phys661 1694 77 13599
Degenerate Energy Levels Wikipedia
Https Encrypted Tbn0 Gstatic Com Images Q Tbn 3aand9gcsoavphmbn4nn5sdihir7d8pqmaotxwbjdnnryfudlf9ijassb Usqp Cau
Quantum Wavefunction Video Khan Academy
Https Encrypted Tbn0 Gstatic Com Images Q Tbn 3aand9gcr9jr4njpeu6owo5nbmmtugyukfyhadj9yryx Z1wjtdx2hl Lf6enfiw Ck3u274y Usqp Cau
Schrodinger Representation Schrodinger Equation Ppt Download
Simple Introduction To Quantum Mechanics Quantum Mechanics
Solved In Quantum Mechanics The Schr Quot Odinger Equatio
Quantum Mechanics Schrodinger S Wave Equation Nanotechnology
Energy Calculation For Rigid Rotor Molecules
A Small Part Of The Derivation For Schrodinger S Equation Of
Https Www Math Uni Tuebingen De De Forschung Maphy Lehre Ws 2018 19 We Rqm Files Exercises 09 Pdf
Pdf Time In Quantum Mechanics And The Local Non Conservation Of
Perturbation Theory Quantum Mechanics Wikipedia
Particle In Finite Walled Box 