Home ยป Physics Equations Velocity Acceleration Distance Time
3 4 Motion With Constant Acceleration University Physics VolumeProduct : Order Now ads/responsive.txt ads/responsive.txt
3 4 Motion With Constant Acceleration University Physics Volume
1 2 Form 3 Speed Velocity And Acceleration
96 Best Physics Formulae Images Physics Formulas Physics Math
Physics Equations
Average Velocity For Constant Acceleration Video Khan Academy
Speed Velocity And Acceleration Grade 11 Physics
Using Equations Of Motion 1 Step Numerical Video Khan Academy
Free Fall Calculator
Cbse Ncert Notes Class 9 Physics Motion
Physics Revision Lesson 5 Velocity And Acceleration Distance Time
Mathematics Of Motion Control Profiles
3 Ways To Calculate Velocity Wikihow
Equations Of Motion Wikipedia
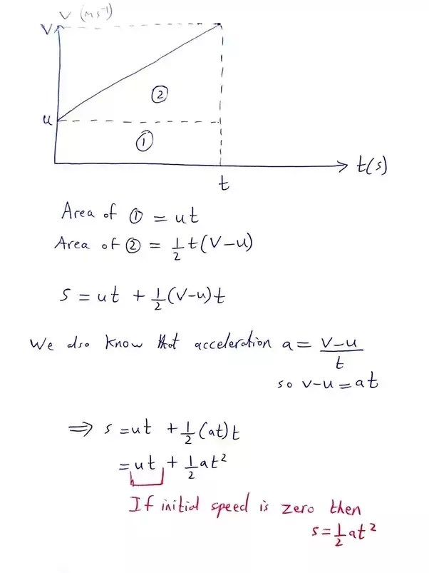
Why Is The Distance Travelled In Time T Proportional To The Square
What Are The Kinematic Formulas Article Khan Academy
Equations Of Motion Wikipedia
Distance Time And Velocity Time Graphs Gcse Physics Doodle
Description Of Motion
Conservation Of Momentum
Physics 2a Motion And Forces Speed And Velocity And Acceleration
Ballistic Flight Equations
Projectile Motion Formula Formula For Projectile Motion
Physics Homepage
Variable Acceleration Motion 