Tangent Galvanometer Diagram Blender Project Oscar Iit Bombay Tangent Galvanometer In Cycles

Home » Tangent Galvanometer Diagram

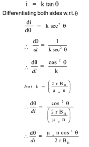
Blender Project Oscar Iit Bombay Tangent Galvanometer In Cycles
Blender Project Oscar Iit Bombay Tangent Galvanometer In Cycles
Product : Order Now

ads/responsive.txt

ads/responsive.txt

Blender Project Oscar Iit Bombay Tangent Galvanometer In Cycles

Tangent Galvanometer Ket Virtual Physics Labs

Tangent Galvanometer Compass Needle Pivots In A Coil Lecture

Tangent Galvanometer Purpose Equipment

Physics Earth Magnetic Field Using Tangent Galvanometer

Experiment 18 Earth S Magnetic Field

Electrical Measurementsa Laboratory Manual Edle Of The Tangent

Galvanometer Is Used R The Radius Of The Coil In Centimeter

Physics Earth Magnetic Field Using Tangent Galvanometer

Tangent Galvanometer Docsity

Determination Of Earth S Magnetic Field Youtube

Unph33

Tangent Galvanometer Stock Vektorgrafik Lizenzfrei 292467095

Https Encrypted Tbn0 Gstatic Com Images Q Tbn 3aand9gcra2tbon7r1xol9mpdjj2tbkzi Dxhgmmauxkl Z N2fkgyvs9u Usqp Cau

The Project Gutenberg Ebook Of Hawkins Electrical Guide Number

Tangent Galvanometer Download Scientific Diagram

Tangent Galvanometer Construction Working Sensitivity Accuracy

Galvanometer Wikipedia

Unph33

Infofavour Tangent Galvanometer Construction And Theory

Magnetism

Tangent Galvanometer Download Scientific Diagram

Determining The Horizontal Component Of Earth Docx Earth S

Physics Investigatory Project Xii Tangent Galvanometer Earth S

ads/link.txt
site traffic analytics